Products

Home > pyrophosphoric acid (PPi)

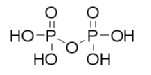
Product name: pyrophosphoric acid (PPi)

CAS No.: 2466-09-3

Quality Standard: Enterprise standard

Description

Molecular formula: H4P2O7
Character: colorless viscous liquid, standing for a long time to generate crystal, which is colorless glass.
Use: used as catalyst and concealing agent; Used as catalyst, metal refining, organic peroxide stabilizer. It is used to adjust the Ph value of electroplating solution in copper electroplating process, as well as other electroplating.

Copyright(C)2022, Zhangjiagang Huachang Pharmaceutical Co., Ltd. All Rights Reserved. Supported by ChinaChemNet ChemNet Toocle Copyright Notice 备案序号:苏ICP备10219973号-3